عملکرد حرارتی سازه ال اس اف LSF
این مقاله به بررسی ویژگیها و مکانیزم های اصلی سازه ال اس اف LSF از نقطه نظر مصرف انرژی می پردازد و برخی از استراتژی ها را برای کاهش پل های حرارتی و بهبود مقاومت حرارتی المان های پوششی سازه ال اس افLSF ارائه می دهد.
متریال سازه ال اس اف LSF
سازه ال اس اف LSFیک سیستم ساخت و ساز ساختمان متشکل از مواد خشک است، که عمدتاً برای ساختمان های مسکونی کم ارتفاع است. این سیستم ساخت و ساز خشک را می توان با سه ماده اصلی که در دیوارها و دال ها استفاده می شود مشخص کرد: فولاد سرد نورد به عنوان اسکلت اصلی سازه و تحمل بار های وارد بر ساختمان، پوشش ها به (عنوان مثال: تخته رشته ای جهت دار (OSB))، کناف، مواد عایق (مانند پشم معدنی و پلی استایرن)، ادوات اتصال (به عنوان مثال، پیچ های خودکار)، لایه هوا بندی و بخاربندی.
مقطع پروفیل فولادی سرد نورد سازه ال اس اف LSF
سازه ال اس اف LSF از مقاطع فولادی سرد نورد ساخته شده است. استحکام و سختی پروفیل فولادی، علاوه بر ضخامت و عیار ورق فولادی، به شکل مقطع نیز بستگی دارد.
بر اساس تحقیقات انجام شده پروفیل های فولادی شکاف دار را می توان با حفظ سختی لازم ، برای بهبود عملکرد حرارتی استفاده کرد.
پوشش ها
متداول ترین پوشش ها در ساختمان های ساخته شده با سازه ال اس اف LSF، فایبر سمنت، OSB و کناف به ترتیب برای لایه های بیرونی و داخلی دیوارهای خارجی هستند. پانل های OSB ضخیم تر نیز می توانند برای پوشش کف خشک استفاده شوند. در سیستم کف استفاده از لایه ملات نازک میتواند مزایایی در رابطه با عملکرد حرارتی ایجاد کند.
اتصالات
یکی نواحی که در ساختمان ایجاد پل حرارتی می کند و بر عملکرد حرارتی ساختمان تاثیر می گذارد، نواحی اتصالات هستند. اتصالات یک موضوع اساسی مرتبط با سیستم ساخت و ساز با سازه ال اس اف LSF است. انتخاب یک روش اتصال به موارد زیر بستگی دارد:
- نوع و ضخامت ادوات اتصال
- شرایط بارگذاری و استحکام مورد نیاز اتصال
- در دسترس بودن پیچ و ابزار
- هزینه
- الزامات دوام
- رعایت الزامات استانداردها
متریال عایق حرارتی
رایج ترین ماده عایق حرارتی مورد استفاده در سازه ال اس اف LSF پشم های معدنی (MW) است، که بیشتر بین استاد های فولادی استفاده می شود. توجه داشته باشید (MW) که اغلب نه تنها در دیوارها و دال های خارجی بلکه در پارتیشن ها و دال های داخلی نیز استفاده می شود. استفاده از پلی استایرن منبسط شده (EPS) نیز در به حداقل رساندن پل های حرارتی بین استاد های فولادی بسیار مناسب است.
لایه هوابندی و بخاربندی
لایه هوابندی برای کنترل اتلاف حرارتی ناشی از نفوذ هوا بسیار مهم است. برای کاهش نفوذ هوا و میعان داخلی باید از دولایه در پوشش خارجی ساختمان شده با سازه ال اس اف LSF استفاده شود. در بخش داخلی پوششهای خارجی، باید از یک لایه هوابند استفاده شود. علاوه بر این، برای جلوگیری از نفوذ هوای گرم در دیوارها و کف ها یا در فضای بیرون باید از یک مانع هوای داخلی استفاده شود. این لایه اغلب به عنوان بخاربند نامیده می شود، زیرا باید از رطوبت هوا به داخل ساختمان جلوگیری کند، جایی که می تواند در تماس با سطوح سردتر باعث ایجاد میعان شود. توجه داشته باشید که لایه بیرونی هوابند باید در برابر بخار نفوذپذیر باشد تا اجازه خروج رطوبت را هر زمان که در دیوار سازه ال اس اف LSF وجود دارد، امکان پذیر باشد و از تجمع رطوبت در داخل دیوارها و کف ها جلوگیری شود.
طبقه بندی المان های ساختمانی سازه ال اس اف LSF
با توجه به رفتار حرارتی، المان های ساختمانی سازه ال اس اف LSFمعمولاً بر اساس محل عایق حرارتی طبقه بندی می شوند. شکل زیر سه نوع روش ساخت فریم سازه ال اس اف LSF را نشان می دهد: فریم سرد، فریم ترکیبی، فریم گرم. در ساخت فریم سرد، عایق حرارتی در داخل دیوار بین استاد های فولادی قرار می گیرد. بنابراین، این راه حل ممکن است در آب و هوای سرد، با توجه به دمای پایین تر پروفیل های فولادی بیشتر مستعد میعان داخلی شود. علاوه بر این، پلهای حرارتی فریم های فولادی در این نوع بارزتر هستند و منجر به اتلاف و افزایش حرارت میشوند. هنگامی که عایق حرارتی بین سطح خارجی و هوای محبوس دیوار بین پروفیل های فولادی توزیع می شود، فریم سازه ال اس اف LSF به عنوان ساختار ترکیبی طبقه بندی می شود. در این نوع، حداقل یک سوم از مقاومت حرارتی باید در خارج از هوای محبوس دیوار قرار گیرد تا از پل های حرارتی و خطر میعان داخلی کاسته شود. در نهایت، در سیستم فریم گرم، تمام عایق حرارتی در خارج از سازه فولادی قرار می گیرد که بهترین عملکرد حرارتی را دارد. با این حال، این نوع دیوارهای ضخیمتری ایجاد میکند که ممکن است منجر به مساحت خالص کمتری شود.
عملکرد حرارتی سازه ال اس اف LSF
این مقاله به بررسی عملکرد حرارتی و واکنش یک ساختمان ساخته شده با سازه ال اس اف LSF به تغییرات در محیط بیرون به منظور حفظ شرایط آسایش حرارتی داخل ساختمان اشاره دارد. این شرایط باید با حداقل تقاضای انرژی برای گرمایش و سرمایش به دست آید. بهره وری انرژی ساختمان به معنای استفاده از انرژی کمتر برای تامین شرایط حرارتی مشابه در داخل ساختمان است. در این زمینه، عملکرد حرارتی ساخت و ساز با سازه ال اس اف LSF را می توان با کاهش پل های حرارتی و با در نظر گرفتن انتقال حرارتی کم المان های پوششی بهبود بخشید. این باید با استراتژی های تهویه مناسب. بهبود ظرفیت حرارتی سیستم های LSF همچنین می تواند عملکرد حرارتی ساخت و ساز ال اس اف LSF را با افزایش اینرسی حرارتی ساختمان افزایش دهد.
استفاده از سازه ال اس اف LSF به عنوان مصالح ساختمانی در چند سال اخیر رشد خارقالعادهای داشته است و با موفقیت در برخی از انواع ساختمانهای کوتاه مرتبه (مانند ساختمانهای اداری و همچنین ساختمانهای مسکونی) استفاده میشود. با این حال، اگر به درستی مورد توجه قرار نگیرد، پلهای حرارتی یک اشکال قابل توجه است که میتواند رفتار حرارتی و کارایی انرژی ساختمانهای ساخته شده با سازه ال اس اف LSF را کاهش می دهد.
راهکارهایی برای کاهش پل های حرارتی در سازه ال اس اف LSF
پل های حرارتی مسیرهای حرارتی از طریق پوشش ساختمان هستند و می توانند تأثیر قابل توجهی بر عملکرد حرارتی ساختمان های ساخته شده با سازه ال اس اف LSF با عایق بالا داشته باشند، زیرا انتقال حرارت را از طریق پوشش ساختمان افزایش می دهند. پل های حرارتی بر دمای سطح اجزای ساختمان نیز تأثیر می گذارند. پل های حرارتی را می توان به سه نوع اصلی طبقه بندی کرد:
- پل های حرارتی هندسی در گوشه ها و اتصالات شامل: پنجره ها و درها، دیوارها، کف ها و گوشه های دیوار
- پل های حرارتی مجزا مانند بالکن هایی که در لایه های عایق نفوذ می کنند یا پیچ های فولادی که به پانل عایق پیچ می شوند.
- پل های حرارتی مکرر در عناصر ساختمانی به دلیل اسکلت فلزی.
توزیع دما را در داخل دیوارهای مختلف ال اس اف LSF
توزیع دما را در داخل دیوارهای مختلف ال اس اف LSF
برخی از استراتژی های طراحی کلی برای کاهش پل های حرارتی در سازه ال اس اف LSF را می توان فهرست کرد:
- سادگی هندسه نماها
- قرار دادن یک لایه عایق پیوسته در سمت خارجی قاب سازه ال اس اف LSF
- از قطع شدن لایه های عایق باید اجتناب شود.
- پنجره ها و درها باید در تماس با عایق نصب شوند.
- در اتصالات، لایههای عایق باید در عرض کامل به هم بپیوندند.
- استاد ها باید با استفاده از اتصالات با رسانایی حرارتی کم به لایه عایق خارجی متصل شوند.
همچنین بر اساس تحقیقات انجام شده فضای بین قابهای فولادی، ضخامت عناصر فولادی، طول جان و بال ها، سطح مقطع و تعداد قابهای فولادی نیز ممکن است بر پلهای حرارتی تأثیر بگذارد.
همچنین برخی از تحقیقات صورت گرفته تأثیر افزایش فاصله بین پروفیل های فولادی بر روی مقاومت حرارتی دیوارها با ضخامت های مختلف لایه عایق را بررسی کردند. محققان به این نتیجه رسیدند که افزایش مقاومت حرارتی ناشی از افزایش فاصله پروفیل های حدود ۱۵ الی ۲۰ درصد است.
راهبردهایی را برای کاهش پل های حرارتی مکرر :
- پروفیل های فولادی شکاف دار برای افزایش مسیر جریان گرما
- فرورفتگی بال پروفیل فولادی
- شکست های حرارتی برای اجزای ساختمان
مقاومت حرارتی المان های سازه ال اس اف LSF
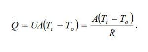
مقاومت حرارتی کلی هر بخش از پوشش ساختمان چند لایه معکوس ضریب انتقال حرارت کلی U است، با در نظر گرفتن یک ناحیه واحد از پوشش ساختمان. در شرایط حالت پایدار، سرعت انتقال حرارت را می توان از موارد زیر تعیین کرد:
Ti =دمای محیط داخلی
TO=دمای محیط خارجی
استراتژی های بهبود مقاومت حرارتی المان های سازه ال اس اف LSF
با در نظر گرفتن قرار دادن لایه هایی از مواد با رسانایی حرارتی پایین در ساختار سازه ال اس اف LSF ساده ترین راه برای بهبود مقاومت حرارتی المان ها است. قرار دادن لایههای عایق حرارتی میتواند برای کاهش اثر پلهای حرارتی ناشی از سازه فولادی سرد نورد و بهبود عملکرد انرژی ساختمان استفاده شود. محققان تأثیر چندین سطح عایق بر روی تعادل انرژی ساختمانهای ساخته شده با سازه ال اس اف LSF را ارزیابی کردند. ضخامت بهینه عایق، صرفه جویی در مصرف انرژی برخی از استراتژی های پوشش دیوار های سازه ال اس اف LSF را با استفاده از تحلیل هزینه چرخه عمر در طول عمر ۲۰ ساله ساختمان ارزیابی کردند. استفاده از مواد عایق جدید و کارآمدتر نیز ممکن است باعث عملکرد حرارتی عالی دیوارها شود. پوشش ایروژل ممکن است به عنوان یکی از امیدوارکننده ترین مواد عایق حرارتی دیده شوند زیرا رسانایی حرارتی آنها ۲ تا ۲.۵ برابر کمتر از مواد معدنی معمولی است.
مطالعاتی دیگر استفاده از پانلهای عایق خلاء VIP را بررسی کردند. مقاومت حرارتی این پانل ها ۵ تا ۸ برابر بیشتر از سایر مواد عایق معمولی است. اثر پل حرارتی ناشی از مجموعههای VIP ممکن است تأثیر قابلتوجهی بر عملکرد کلی انرژی ساختمان داشته باشد.










